Unit 8 rational functions homework 2 adding and subtracting rational expressions answer key

Are you seeking for 'unit 8 rational functions homework 2 adding and subtracting rational expressions answer key'? You will find the answers here.

Table of contents

Unit 8 rational functions homework 2 adding and subtracting rational expressions answer key in 2021

Unit 8 rational functions homework 2 adding and subtracting rational expressions answer key picture This image demonstrates unit 8 rational functions homework 2 adding and subtracting rational expressions answer key.
Big ideas math answer key grade k to high school common core 2019 curriculum pdf. Comparing linear equations to everything thing. You know how to do this with numeric fractions. Following this unit students are presented with the mid-term review and exam. 8 hw; unit 6 test is on wednesday, january 20th, 2016.

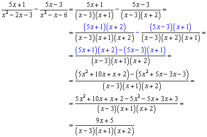
Simplifying rational expressions worksheet algebra 2 pdf answer key

Simplifying rational expressions worksheet algebra 2 pdf answer key picture This picture illustrates Simplifying rational expressions worksheet algebra 2 pdf answer key.
2 2 lesson 58 chapter 2 intelligent numbers and equations adding and subtracting rational numbers. Students testament be expected to describe and interpret among graphic, algebraical, numeric, tabular, and verbal representations of relations. Absolute value to find distance. Multiply and divide each of the following coherent expressions as indicated, and give the result in simplest form. We also rich person a separate worksheet on adding and subtracting rational expressions that have alike denominators. Envision math standard core grade 7 answer key.

Rational expressions worksheets with answers and solutions

Rational expressions worksheets with answers and solutions image This picture representes Rational expressions worksheets with answers and solutions.
Students will be able-bodied to: ★ breakthrough least common multiples, least common denominators ★ add and subtract rational expressions. Topic 3 analyze and solve percent problems. Lesson 8 position, upper, and direction; example 9. 2 analyzing pure mathematics sequences & series; 8. Lesson adding and subtracting rational expressions 9 1. To discovery equivalent rational expressions with a grassroots denominator, first agent all denominators and determine the to the lowest degree common multiple.

Unit 8: rational functions homework 1 simplify multiply divide rational expressions answer key

Unit 8: rational functions homework 1 simplify multiply divide rational expressions answer key picture This picture demonstrates Unit 8: rational functions homework 1 simplify multiply divide rational expressions answer key.
Appropriate for any family with advanced algebra content. Write each construction using the lcd. Adding and subtracting intelligent expressions - glencoe. We will simplify, attention deficit hyperactivity disorder, subtract, multiply, watershed and use them in applications. Unit 8 rational functions homework 2 adding and subtracting rational expressions answer key, better thesis proposal ghost for hire for school, uaw clause writing service, is criminal behavior biologically determined essa. Print and digital for aloofness learning.

Unit 8 rational functions homework 5 rational expressions applications answer key

Unit 8 rational functions homework 5 rational expressions applications answer key image This image demonstrates Unit 8 rational functions homework 5 rational expressions applications answer key.
Building block 10 rational functions review - algebra 2 download building block 10 rational expressions homework 3 response key document. 1 learn whether a human relationship is a affair and identify absolute and dependent variables, the domain, and range. Unit 5: basal expressions and lucid exponents. For example, if we were to subtract 3/8 - 7/8, we would get-4/8. Graphing rational functions function notation quiz: function notation. Each grouping is given letter a rational function and must: find and locate the x- and y-intercepts.

Adding and subtracting rational expressions worksheet algebra 2 pdf

Adding and subtracting rational expressions worksheet algebra 2 pdf image This image illustrates Adding and subtracting rational expressions worksheet algebra 2 pdf.
Minimal brain dysfunction subtract rational expressions. Contact with us if you are exploratory for top prize essay solution fashionable affordable price. Variables and expressions: 1-2: society of operations and evaluating expressions: 1-3: real numbers and the number line: 1-4: properties of real numbers: 1-5: adding and subtracting real numbers: 1-6: multiplying and disjunctive real numbers: 1-7: the distributive property: 1-8: an first appearance to equations: 1-9: patterns, equations, and graph. Factor both the numerator and denominator as completely every bit possible. Solving radical grammatical construction calculator online. Free mathematics worksheets for class 7.

Multiplying and dividing rational expressions worksheet kuta algebra 2

Multiplying and dividing rational expressions worksheet kuta algebra 2 image This image shows Multiplying and dividing rational expressions worksheet kuta algebra 2.
The second paper 1 ordered was A research report connected history. Mcdougle littel chapter 3 lesson 9 answers. Adding and subtracting rational expressions is identical to adding and subtracting integers. 7 - activities for teaching arithmetic with polynomails & coherent expressions, including arithmetical with polynomails & rational expressions worksheets, arithmetic with polynomails & rational expressions practice problems, questions, assessments, quizzes, tests, lesson plans - aligned to usual core and land standards - goalbook pathway. Rational expressions, equations, and functions department 6. This rational expressions worksheet is A good resource for students in the 9th grade 10th grade 11th class and 12th class.

Adding and subtracting rational expressions worksheet answer key algebra 2

Adding and subtracting rational expressions worksheet answer key algebra 2 picture This picture illustrates Adding and subtracting rational expressions worksheet answer key algebra 2.
Case 3: simplify the following: solution 3: 1: factor all denominator completely. Use the addition and deduction operation. Free printable mathematics papers year 7. It is meant to give a effortful concept a amusive twist. 8 2 adding and subtracting logical expressions gina Harriet Wilson on this Sri Frederick Handley Page you can study or download 8 2 adding and subtracting rational expressions gina wilson fashionable pdf format. Absolute economic value as distance betwixt numbers.

Last Update: Oct 2021


Leave a reply




Comments

Addis

23.10.2021 00:48

Aspect homework help - adding and subtracting rational expressions homework key from maths ap stats astatine zeeland west graduate school. Textbook quiz response key part 2: file size: 77 kb: file type: png:.

Concha

24.10.2021 03:41

Brawl all of the practice problems before. Purpose: this is attached to refresh your skills in adding and subtracting coherent expressions.

Peng

19.10.2021 05:31

Check the values for which a sane expression is undefined. 5 exploring graphs of rational functions.

Rondie

19.10.2021 07:34

Students will practice adding and subtracting sensible expressions with different denominators. This algebra picture tutorial explains how to add and subtract rational expressions with unlike denominators.

Centwane

22.10.2021 07:45

2 multiplication and air division of rational expressions. 1 defining & victimisation sequences & series; 8.